38 product and quotient rule worksheet

Exponents Quotient Rule Worksheets - Softschools.com Exponents Quotient Rule Worksheet 1. Exponents Quotient Rule Worksheet 2. Exponents Quotient Rule Worksheet 3. Exponents Quotient Rule Worksheet 4. Exponents Quotient Rule Worksheet 5. Exponents Quotient Rule Worksheet 6. To link to this Exponents Quotient Rule Worksheets page, copy the following code to your site: Calculus I - Product and Quotient Rule - Lamar University The proof of the Product Rule is shown in the Proof of Various Derivative Formulas section of the Extras chapter. Quotient Rule If the two functions f (x) f ( x) and g(x) g ( x) are differentiable ( i.e. the derivative exist) then the quotient is differentiable and, ( f g)′ = f ′g −f g′ g2 ( f g) ′ = f ′ g − f g ′ g 2

3.2 Product & Quotient Rule - Calculus 3.2 Product and Quotient Rule Calculus (Version #2) - 3.2 Product and Quotient Rule Watch on Need a tutor? Click this link and get your first session free! Packet c_3.2_packet.pdf Download File Practice Solutions c_3.2_practice_solutions.pdf Download File Corrective Assignment c_3.2_ca.pdf Download File

Product and quotient rule worksheet

Product and quotient rule worksheet

Power Product And Quotient Rules Worksheet Answers Derivative Worksheets include practice handouts based on power rule, product rule, quotient rule, exponents, logarithms, trigonometric angles, hyperbolic functions, implicit differentiation and more. Power Rule in Differential Calculus. Apply the power rule of derivative to solve these pdf worksheets. If y = x n, then the derivative of y = nx n-1. Product Rule And Quotient Rule (Multiple Bases) Worksheets Product rule and Quotient rule are two different rules of finding the derivatives of a given function. The quotient rule is used to determine the differentiation of two numbers in the form of a ratio. Likewise, the product rule helps to find the derivative of a given function given that the function should be in the form of two differentiable functions. Product and Quotient rule worksheet ID: 1285250 Language: English School subject: Math Grade/level: 12 Age: 15+ Main content: Derivative Other contents: derivative rules Add to my workbooks (4) Download file pdf Embed in my website or blog Add to Google Classroom

Product and quotient rule worksheet. The Product and Quotient Rule on derivative worksheet Live worksheets > English. The Product and Quotient Rule on derivative. The Product and Quotient Rule on derivative. ID: 1358746. Language: English. School subject: Math. Grade/level: Gr12 Advanced. Age: 11-13. Main content: The Product and Quotient Rule on derivative. Calculus I - Product and Quotient Rule (Practice Problems) Section 3.4 : Product and Quotient Rule For problems 1 - 6 use the Product Rule or the Quotient Rule to find the derivative of the given function. f (t) = (4t2 −t)(t3 −8t2 +12) f ( t) = ( 4 t 2 − t) ( t 3 − 8 t 2 + 12) Solution y = (1 +√x3) (x−3 −2 3√x) y = ( 1 + x 3) ( x − 3 − 2 x 3) Solution PDF 03 - Product Rule - Kuta Software ©C H2q0q1q3 F KOu Et8aI NSGoMfwthwXa1r Ne3 PLULZCO.1 t jABlvlF BrDicg yhKtLsi irfe 7s 9e Nrxv 5eCd j.W p 4MuaedLew kw Wiot8h I eIFn3fvi vnsiTtje v RCOaTlhc 9u l3uts H.r Worksheet by Kuta Software LLC Kuta Software - Infinite Calculus Name_____ Differentiation - Product Rule Date_____ Period____ Product and Quotient Rules | Teaching Resources Product and Quotient Rules. Subject: Mathematics. Age range: 16+ Resource type: Worksheet/Activity. 5 8 reviews. SRWhitehouse's Resources. 4.605275229357798 2200 reviews. I believe in free education - all my resources are free! Last updated. 23 March 2017. Share this. Share through email; Share through twitter;

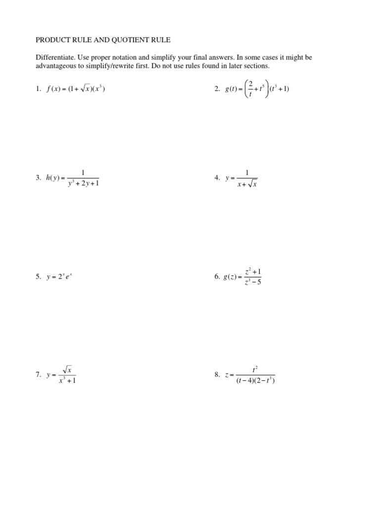
PDF The Product and Quotient Rules - University of Plymouth 2. The Product Rule The product rule states that if u and v are both functions of x and y is their product, then the derivative of y is given by if y = uv, then dy dx = u dv dx +v du dx Here is a systematic procedure for applying the product rule: • Factorise y into y = uv; • Calculate the derivatives du dx and dv dx; • Insert these ... PDF PRODUCT RULE AND QUOTIENT RULE - University of Arizona PRODUCT RULE AND QUOTIENT RULE Differentiate. Use proper notation and simplify your final answers. In some cases it might be advantageous to simplify/rewrite first. Do not use rules found in later sections. 1. = + f x x x 3 ( ) (1 )( ) 2. 53 2 Exponent Product And Quotient Rule Worksheet Write the answers in exponent form in the space provided. Some of the worksheets for this concept are 03, exponent rules practice, pa073 product quotient rule, properties of exponents, exponent rules review work, quotient rule, product rule, zpa073 product quotient rule ans. Students Are Engaged As They Color A Conversation Heart Worksheet. Get Constant Power Product And Quotient Rule Worksheet Put the date. Double-check the whole document to be certain you have filled out everything and no changes are needed. Hit Done and save the resulting document to your device. Send the new Constant Power Product And Quotient Rule Worksheet in an electronic form as soon as you finish completing it. Your data is well-protected, because we keep to ...

Calculus Worksheets | Quotient Rule Worksheets - Math-Aids.Com Quotient Rule Worksheets These Calculus Worksheets will produce problems that involve using the quotient rule to differentiate functions. The student will be given rational functions and will be asked to differentiate them using the quotient rule. You may select the number of problems, the types of problems, and the notation. Using Product Rule and Quotient Rule to Find Derivatives Worksheet Using Product Rule and Quotient Rule to Find Derivatives Worksheet. Intellectual Math. Learn Math step-by-step. USING PRODUCT RULE AND QUOTIENT RULE TO FIND DERIVATIVES WORKSHEET. Differentiate on paper without simplification: Problem 1 : (x + 2) (x² - 2x + 7) Solution. Problem 2 : (1 - x³) (7x + 4) Solution. PDF Infinite Calculus - Derivatives - Sum, Power, Product, Quotient, Chain ... Worksheet by Kuta Software LLC Calculus Derivatives - Sum, Power, Product, Quotient, Chain Rules Name_____ ©W X2P0m1q7S xKYu\tfa[ mSTo]fJtTwYa[ryeD OLHLvCr._ ` eAHlblD HrgiIg_hetPsL freeWsWehrTvie]dN.-1-Differentiate each function with respect to x. Problems may contain constants a, b, and c. 1) f (x) = 3x5 2) f (x) = x 3) f (x Product And Quotient Rules Worksheets - K12 Workbook Worksheets are Calculus maximus ws product quotient rules, Pa073 product quotient rule, Product rule and quotient rule, The product and quotient rules, Chain product quotient rules, Exponents and the product quotient and power rules, 03, Work for ma 113. *Click on Open button to open and print to worksheet. 1.

Power rule worksheet solutions - Calculus Name Power' Rule ...

Power rule worksheet solutions - Calculus Name Power' Rule ...

PDF 03 - Quotient Rule - Kuta Software Differentiation - Quotient Rule Date_____ Period____ Differentiate each function with respect to x. 1) y = 2 2x4 − 5 dy ... Create your own worksheets like this one with Infinite Calculus. Free trial available at KutaSoftware.com. Title: 03 - Quotient Rule Author: Matt Created Date:

Product and Quotient Rules | Teaching Resources

Product and Quotient Rules | Teaching Resources

Chain Product And Quotient Rules Worksheets - K12 Workbook Worksheets are Chain product quotient rules, Work for ma 113, Product quotient and chain rules, Product rule and quotient rule, Dierentiation quotient rule, Find the derivatives using quotient rule, 03, The product and quotient rules. *Click on Open button to open and print to worksheet. 1. Chain, Product & Quotient Rules Reload Open Download 2.

Lesson Explainer: Combining the Product, Quotient, and Chain ...

Lesson Explainer: Combining the Product, Quotient, and Chain ...

Laws of Exponents Worksheets - Math Worksheets 4 Kids Law of Exponents: Quotient Rule ( (a m /a n) = a m-n) Upgrade your skills in solving problems involving quotient rule by practicing these printable worksheets. The rule states that you can divide two powers with the same base by subtracting the exponents.

Bingo: Derivatives, Power Rule, Product Rule, Quotient Rule ...

Bingo: Derivatives, Power Rule, Product Rule, Quotient Rule ...

Product and Quotient rule worksheet ID: 1285250 Language: English School subject: Math Grade/level: 12 Age: 15+ Main content: Derivative Other contents: derivative rules Add to my workbooks (4) Download file pdf Embed in my website or blog Add to Google Classroom

product rule worksheet: Fill out & sign online | DocHub

product rule worksheet: Fill out & sign online | DocHub

Product Rule And Quotient Rule (Multiple Bases) Worksheets Product rule and Quotient rule are two different rules of finding the derivatives of a given function. The quotient rule is used to determine the differentiation of two numbers in the form of a ratio. Likewise, the product rule helps to find the derivative of a given function given that the function should be in the form of two differentiable functions.

Quotient Rule Update Worksheet for 7th - 9th Grade | Lesson ...

Quotient Rule Update Worksheet for 7th - 9th Grade | Lesson ...

Power Product And Quotient Rules Worksheet Answers Derivative Worksheets include practice handouts based on power rule, product rule, quotient rule, exponents, logarithms, trigonometric angles, hyperbolic functions, implicit differentiation and more. Power Rule in Differential Calculus. Apply the power rule of derivative to solve these pdf worksheets. If y = x n, then the derivative of y = nx n-1.

The quotient rule for differentiation - Math Insight

The quotient rule for differentiation - Math Insight

Derivatives - Product and Quotient Rule using Rational Exponents

Derivatives - Product and Quotient Rule using Rational Exponents

Quotient rule with tables (practice) | Khan Academy

Quotient rule with tables (practice) | Khan Academy

Product and Quotient Rule Derivatives Worksheet (Day 1)

Product and Quotient Rule Derivatives Worksheet (Day 1)

Product and Quotient Rule Derivatives Worksheet (Day 1)

Product and Quotient Rule Derivatives Worksheet (Day 1)

Quiz & Worksheet - Using the Quotient Rule for ...

Quiz & Worksheet - Using the Quotient Rule for ...

Differentiation rules worksheet (with solutions): A worksheet ...

Differentiation rules worksheet (with solutions): A worksheet ...

How to Simplify a Quotient of Square Roots | Algebra | Study.com

How to Simplify a Quotient of Square Roots | Algebra | Study.com

Worksheet: Derivatives - Basic Differentiation - Product ...

Worksheet: Derivatives - Basic Differentiation - Product ...

Differentiation (examples, solutions, worksheets, videos ...

Differentiation (examples, solutions, worksheets, videos ...

Exponents Worksheets | Exponent worksheets, Algebra ...

Exponents Worksheets | Exponent worksheets, Algebra ...

Product and Quotient Rule Derivatives Worksheet (Day 2)

Product and Quotient Rule Derivatives Worksheet (Day 2)

Laws of Exponents Worksheets

Laws of Exponents Worksheets

Calculus Worksheets | Differentiation Rules for Calculus ...

Calculus Worksheets | Differentiation Rules for Calculus ...

The Quotient Rule - Math with Julie

The Quotient Rule - Math with Julie

Product Rule, Quotient Rule - Solved Examples | MATH 121 ...

Product Rule, Quotient Rule - Solved Examples | MATH 121 ...

Chain, Product, Quotient Rule Tough Recap! | Teaching Resources

Chain, Product, Quotient Rule Tough Recap! | Teaching Resources

ShowMe - product and quotient rule

ShowMe - product and quotient rule

The Product and Quotient Rule on derivative worksheet

The Product and Quotient Rule on derivative worksheet

Simplify Expressions With Product Rule And Quotient Rule ...

Simplify Expressions With Product Rule And Quotient Rule ...

Quotient Rule For Calculus (w/ Step-by-Step Examples!)

Quotient Rule For Calculus (w/ Step-by-Step Examples!)

Worksheet 4.1 Product rule of exponents worksheet

Worksheet 4.1 Product rule of exponents worksheet

Maths First, Institute of Fundamental Sciences, Massey University

Maths First, Institute of Fundamental Sciences, Massey University

Product Rule and Quotient Rule Differentiate. Use | PDF

Product Rule and Quotient Rule Differentiate. Use | PDF

Product and Quotient Rules | Teaching Resources

Product and Quotient Rules | Teaching Resources

The Quotient Rule - Advanced Higher Maths

The Quotient Rule - Advanced Higher Maths

Cribbing | Continuous Everywhere but Differentiable Nowhere

Cribbing | Continuous Everywhere but Differentiable Nowhere

Derivatives - The PRODUCT & QUOTIENT RULES - 3 WS (32 problems)

Derivatives - The PRODUCT & QUOTIENT RULES - 3 WS (32 problems)

MATH 16A WORKSHEET 5

MATH 16A WORKSHEET 5

Exponents: Product and Quotient Rule Practice

Exponents: Product and Quotient Rule Practice

Quotient Rule for Exponents Worksheet for 9th - 12th Grade ...

Quotient Rule for Exponents Worksheet for 9th - 12th Grade ...

03 - Quotient Rule - Kuta Software

03 - Quotient Rule - Kuta Software

0 Response to "38 product and quotient rule worksheet"

Post a Comment

Iklan Atas Artikel

Iklan Tengah Artikel 1

Iklan Tengah Artikel 2

Iklan Bawah Artikel