43 graphing rational functions worksheet 1 horizontal asymptotes answers
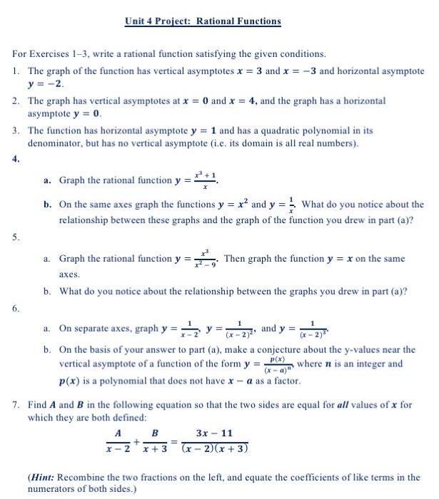
Finding Horizontal Asymptotes of Rational Functions Finding Horizontal Asymptotes of Rational Functions. Remember that an asymptote is a line that the graph of a function approaches but never touches. Rational functions contain asymptotes, as seen in this example: In this example, there is a vertical asymptote at x = 3 and a horizontal asymptote at y = 1. The curves approach these asymptotes but never cross them. Graphing Rational Functions Worksheet - Intellectual Math GRAPHING RATIONAL FUNCTIONS WORKSHEET Identify the points of discontinuity, holes, vertical asymptotes, x – intercepts, horizontal asymptote, and domain of each. Then sketch the graph. 1) f (x) = (x + 1)/ (x – 2) Solution 2) f (x) = (x2 + 2x – 8)/ (-x2 + 6x – 8) Solution 3) f (x) = (x2 - 7x + 12)/ (-2x2 - 2x + 24) Solution
Graphing Rational Functions Worksheet 1 Horizontal Asymptotes ... Downloads. Graphing Rational Functions Worksheet 1 Horizontal Asymptotes Answer Key | checked. 4124 kb/s. 5588. Graphing Rational Functions Worksheet 1 Horizontal Asymptotes Answer Key | added by users. 970 kb/s. 12660. Graphing Rational Functions Worksheet 1 Horizontal Asymptotes Answer Key | full. 3980 kb/s.

Graphing rational functions worksheet 1 horizontal asymptotes answers
Graphing Rational Functions Worksheet Answer Key Apr 20, 2022 · Graphing functions worksheets for high school students cover many different topics, from identifying and evaluating functions to composing, graphing, and transforming functions. These exercises also include finding domains, performing arithmetic operations on functions, and identifying inverse functions. Graphing Rational Functions Practice Answer Key 4.4: Graphing Rational Functions Practice Identify the holes, vertical asymptotes, x-intercepts, horizontal asymptote, and domain of each. Then sketch the graph. 1) ... Answers to 4.4: Graphing Rational Functions Practice (ID: 1) 1) x y −8 −6 −4 −2 2 4 6 8 −8 −6 −4 −2 2 4 6 8 Vertical Asym.: x = 3 Holes: None
Graphing rational functions worksheet 1 horizontal asymptotes answers. Graphing Rational Functions Practice Answer Key 4.4: Graphing Rational Functions Practice Identify the holes, vertical asymptotes, x-intercepts, horizontal asymptote, and domain of each. Then sketch the graph. 1) ... Answers to 4.4: Graphing Rational Functions Practice (ID: 1) 1) x y −8 −6 −4 −2 2 4 6 8 −8 −6 −4 −2 2 4 6 8 Vertical Asym.: x = 3 Holes: None Graphing Rational Functions Worksheet Answer Key Apr 20, 2022 · Graphing functions worksheets for high school students cover many different topics, from identifying and evaluating functions to composing, graphing, and transforming functions. These exercises also include finding domains, performing arithmetic operations on functions, and identifying inverse functions.
0 Response to "43 graphing rational functions worksheet 1 horizontal asymptotes answers"
Post a Comment